Anod Nano-Si Gorchuddiedig Carbon wedi'i Dopio â Chynhwysedd Uchel: Paratoi trwy Fflworeiddio Nwy a Pherfformiad ar gyfer Storio Lithiwm
Awdur:UM Nan, QIU Jieshan, Wang Zhiyu. Anod Nano-Si Gorchuddio Carbon wedi'i Dopio â Chynhwysedd Uchel: Paratoi trwy Fflworeiddio Nwy a Pherfformiad ar gyfer Storio Lithiwm. Journal of Inorganic Materials, 2023, 38(8): 947-953 DOI: 10.15541/jim20230009
Haniaethol
Si anodes hold immense potential in developing high-energy Li-ion batteries. But fast failure due to huge volume change upon Li uptake impedes their application. This work reports a facile yet low-toxic gas fluorination way for yielding F-doped carbon-coated nano-Si anode materials. Coating of nano-Si with F-doped carbon containing high defects can effectively protect Si from huge volume change upon Li storage while facilitating Li+ transport and formation of stable LiF-rich solid electrolyte interphase (SEI). This anode exhibits high capacities of 1540-580 mAh·g-1 at various current rates of 0.2-5.0 A·g-1, while retaining >Capasiti o 75% ar ôl 200 o gylchoedd. Mae'r dull hwn hefyd yn mynd i'r afael â materion cost uchel a gwenwyndra technegau fflworineiddio traddodiadol sy'n defnyddio ffynonellau fflworin fel XeF2 a F2.
Geiriau allweddol:Batri Li-ion; Si anod; carbon wedi'i dopio gan F; dull fflworineiddio nwyol
Bydd datblygu technolegau storio a throsi ynni effeithlon yn helpu i gyflawni'r nod o gyrraedd uchafbwynt carbon a niwtraliaeth carbon. Ar hyn o bryd mae batris lithiwm-ion yn un o'r technolegau storio ynni effeithlonrwydd uchel a ddefnyddir fwyaf [1]. Fodd bynnag, mae gan anodau graffit masnachol gynhwysedd storio lithiwm isel, sy'n cyfyngu'n fawr ar ddwysedd ynni batris lithiwm-ion [2]. Mae gan silicon fanteision potensial isel a chronfeydd wrth gefn helaeth, ac mae ei allu damcaniaethol penodol (4200 mAh·g-1) yn llawer uwch nag anod graffit, felly fe'i hystyrir yn ddeunydd anod ymgeisiol i ddisodli graffit [3 ]. Mae deunyddiau silicon yn cyflawni storio lithiwm yn seiliedig ar yr adwaith aloi cildroadwy ag ïonau lithiwm, ond mae newidiadau cyfaint enfawr (~ 400%) yn cyd-fynd â'r broses hon, sy'n arwain at bowdio cyflym a methiant yr electrod, gan ddod yn dagfa allweddol sy'n cyfyngu ar gymhwysiad ymarferol anodau silicon [3- 4].
Yn ystod y blynyddoedd diwethaf, mae ymchwilwyr wedi datblygu amrywiaeth o strategaethau i wella sefydlogrwydd a pherfformiad electrocemegol anodau silicon. O'r fath fel: nanometerization [5], cyfansawdd strwythurol â charbon dargludol a deunyddiau eraill [6-7], ac ati Gwella sefydlogrwydd strwythurol yr anod silicon trwy liniaru'r straen mecanyddol sy'n gysylltiedig ag ehangu cyfaint storio lithiwm yn y microsgopig graddfa. Datblygu electrolytau neu ychwanegion electrolyte newydd i wella sefydlogrwydd ac effeithlonrwydd Coulombic y cyfnod rhyngwyneb electrolyt solet (SEI) ar wyneb yr anod silicon [8]. Datblygu rhwymwyr polymer effeithlon (fel sodiwm carboxymethyl cellwlos, alginad sodiwm, polyrotaxane seiliedig ar asid polyacrylig [9], ac ati). Cryfhau'r grym bondio rhwng deunyddiau gweithredol, rhwng deunyddiau gweithredol a rhwydwaith dargludol, a rhwng ffilm electrod a chasglwr cerrynt [9-10]. Yn eu plith, cotio carbon yw un o'r dulliau mwyaf effeithiol o wella sefydlogrwydd strwythurol anodau silicon a modiwleiddio priodweddau wyneb a rhyngwyneb [3-4,11]. Fodd bynnag, mae'r haen carbon hynod sefydlog sydd wedi'i orchuddio'n dynn hefyd yn rhwystro trafnidiaeth ïon lithiwm ac yn cyfyngu ar berfformiad llawn yr anod silicon.
Yn ogystal, mae'r newidiadau cyfaint ailadroddus o'r anod silicon yn ystod y broses codi tâl a rhyddhau parhaus hefyd yn achosi i'r ffilm SEI dorri'n barhaus a thyfu dro ar ôl tro, gan arwain at golli lithiwm gweithredol ac electrolyte yn barhaus ar yr wyneb electrod [12]. Mewn ymateb i'r problemau uchod, mae'r astudiaeth hon yn cynnig dull fflworineiddio cyfnod nwy effeithlon i orchuddio wyneb y deunydd anod silicon â haen garbon amorffaidd hynod ddiffygiol sy'n llawn elfennau fflworin i wella ei strwythur a sefydlogrwydd rhyngwyneb. O'i gymharu â thechnoleg fflworineiddio traddodiadol sy'n defnyddio ffynonellau fflworin cost uchel a hynod wenwynig fel XeF2 neu F2 [13], mae'r strategaeth hon yn symlach ac yn llai gwenwynig. Gall yr haen garbon wedi'i dopio â fflworin sy'n gorchuddio wyneb deunyddiau nano-silicon glustogi'n effeithiol ehangu cyfaint anodau silicon wedi'i fewnosod â lithiwm wrth wella galluoedd cludo ïon lithiwm. Ac mae ffilm SEI hynod sefydlog sy'n llawn fflworid anorganig yn cael ei hadeiladu yn y fan a'r lle i gyrraedd y nod o wella sefydlogrwydd cylch yr anod silicon.
1 Dull arbrofol
1.1 Paratoi deunyddiau
Paratoi nano-silicon wedi'i orchuddio â charbon (Si@C):0.3 g o bowdr nanosilica masnachol (maint gronynnau 20~100 nm, Aladdin's adweithydd) ei wasgaru ultrasonically mewn 28 ml o doddydd cymysg o ddŵr deionized ac ethanol (cymhareb cyfaint 5:2). Ar ôl ychwanegu 0.4 mL o 3-aminopropyltriethoxysilane, cymysgwch am 2 awr i ffurfio gwasgariad unffurf A. Hydoddwch 0.115 g o 4,4-dihydroxydiphenyl sulfide a 0.1 g o 3-aminophenol mewn 28 mL o doddydd cymysg o ddŵr deionized ac ethanol (cymhareb cyfaint 5:2) i ffurfio hydoddiant homogenaidd B. Cymysgwch gwasgariad A a hydoddiant B yn gyfartal, ychwanegwch 0.1 mL dŵr amonia, cymysgwch am 30 munud, yna ychwanegwch hydoddiant fformaldehyd 0.14 mL (37% ~ 40%), ac adweithio gyda throi cyson ar 30 gradd am 12 h. Ar ôl yr adwaith, cafwyd y nanosilica ffenolig wedi'i orchuddio â resin (Si@AF) trwy allgyrchu a golchi ag ethanol a dŵr deionized bob yn ail dair gwaith. Cafodd ei galchynnu mewn nwy argon ar 800 gradd am 3 h i gael nano-silicon wedi'i orchuddio â charbon (Si@C).
Paratoi nano-silicon carbon wedi'i orchuddio â fflworin (Si@CF): 100 mg Si@C a 200 mg o fflworid polyvinylidene (PVDF) mewn ffwrnais diwb wedi'i diogelu gan argon. Mae'r cwch cwarts sy'n cynnwys PVDF wedi'i leoli i fyny'r afon o'r llif aer, ac mae'r cwch cwarts sy'n cynnwys Si@C i lawr yr afon o'r llif aer. Mae'n cael ei rostio ar 600 gradd am 3 h i gael nano-silicon carbon wedi'i orchuddio â fflworin (Si@CF).
1.2 Cydosod batri a phrofi perfformiad electrocemegol
1.2.1 Cydosod batri
Cydosod y batri botwm CR2{016 i'w brofi. Cymysgwch y deunydd gweithredol, carbon dargludol du a rhwymwr sodiwm carboxymethylcellulose yn gyfartal mewn cymhareb màs o 7:2:1. Ychwanegwyd dŵr deionized fel y toddydd a'r gwasgarydd, ac roedd y slyri a gafwyd wedi'i orchuddio'n gyfartal ar y ffoil copr fel yr electrod gweithio. Llwytho'r deunydd gweithredol oedd 0.8~1.{{10}} mg·cm-2. Defnyddiwyd dalennau lithiwm metel fel electrodau cownter ac electrodau cyfeirio. Mae'r electrolyte yn hydoddiant DOL/DME wedi'i hydoddi mewn 1.0 mol/L LiTFSI (lithium bistrifluoromethanesulfonate imide) a 2.0% LiNO3(DOL yw 1, 3-dioxolane, DME yw ethylene glycol ether dimethyl, cymhareb cyfaint 1:1). Cydosod y gell mewn blwch menig llawn argon (cynnwys dŵr < 0.1 μL/L, cynnwys ocsigen < 0.1 μL/L).
1.2.2 Prawf perfformiad batri
Defnyddiwch weithfan electrocemegol IVIUM Vertex.C.EIS i ddadansoddi mecanwaith adwaith a chineteg adwaith y batri gan ddefnyddio'r dull Foltammetreg Cylchol (CV). Yr amrediad foltedd yw {{0}}.01~1.5 V, a'r gyfradd ysgubo yw 0.05~0.5 mV ·s- 1. Defnyddiwyd Sbectrosgopeg Rhwystr Electrocemegol (EIS) i ddadansoddi dynameg electrod. Amrediad amledd y prawf oedd 100 kHz ~ 10 mHz, a'r osgled foltedd aflonyddwch oedd 5.0 mV. Defnyddiwyd profwr batri tir CT2001A i astudio'r perfformiad storio lithiwm gan ddefnyddio'r dull codi tâl a rhyddhau cyfredol cyson. Y ffenestr foltedd oedd 0.01~1.5 V (vs. Li/Li+), a dwysedd y cerrynt oedd 0.2~5.0 A·g-1.
2 Canlyniadau a thrafodaeth
2.1 Dadansoddiad o ymddangosiad, strwythur a chyfansoddiad defnyddiau
Dangosir y broses baratoi o ddeunyddiau nano-silicon carbon wedi'u gorchuddio â fflworin yn Ffigur 1. Yn gyntaf, mae nanoronynnau silicon wedi'u gorchuddio â pholymer (Si@AF) yn cael eu paratoi yn seiliedig ar adwaith polymerization cyddwys ffenol-aldehyde a'u trosi'n nano carbon amorffaidd wedi'i orchuddio -silicon nanoronynnau (Si@C) ar dymheredd uchel. Yna defnyddir fflworid polyvinylidene fel y ffynhonnell fflworin, ac mae fflworin yn cael ei ddopio i'r haen garbon y tu allan i'r nanoronynnau silicon trwy'r dull fflworiniad cyfnod nwy ar dymheredd uchel. Mae Ffigur 2(a) yn dangos patrymau XRD deunyddiau Si@C a Si@CF. Uchafbwyntiau diffreithiant wedi'u lleoli ar 2θ- gradd , 47 gradd , 56 gradd , 69 gradd a 76 gradd . Maent yn cyfateb i'r awyrennau grisial (111), (220), (311), (400) a (331) o silicon crisial sengl (JCPDS 77-2108) yn y drefn honno. Mae'r brig eang sydd wedi'i leoli ar 2θ=25 gradd ~26 gradd yn cael ei briodoli i'r strwythur carbon archebedig amrediad byr a ffurfiwyd gan garboneiddio'r cynnyrch polymerization cyddwysiad ffenolig. Gall yr haen cotio carbon gyda dargludedd uchel a hyblygrwydd strwythurol rhagorol liniaru methiant malurio deunyddiau silicon yn effeithiol yn ystod y broses codi tâl a rhyddhau a gwella dargludedd yr electrod. Ffigur 2(b) yw sbectrwm Raman o ddeunyddiau Si@C a Si@CF, gyda brigau amsugno amlwg yn ymddangos ar 515, 947, 1350 a 1594 cm-1. Yn eu plith, mae'r copaon amsugno yn 515 a 947 cm-1 yn gopaon nodweddiadol o silicon crisialog, sy'n deillio o wasgaru ffotoffonon gorchymyn cyntaf a gwasgariad ffotoffonon traws yr ail orchymyn o silicon yn y drefn honno [14]. Mae'r brigau amsugno yn 1350 a 1594 cm-1 yn cyfateb i'r dirgryniad ymestyn cyfluniad carbon aromatig (modd G) a'r strwythur carbon diffygiol anhrefnus (modd D), yn y drefn honno. Yn gyffredinol, gellir defnyddio cymhareb dwyster modd D a modd G (ID / IG) i fesur graddau diffygion ac anhrefn deunyddiau carbon [15]. O'i gymharu â deunydd Si@C (ID/IG=0.99), mae ID/IG deunydd Si@CF yn cynyddu i 1.08. Mae'n dangos y gall y broses fflworineiddio gynyddu diffygion yr haen cotio carbon, sy'n fuddiol i orchuddio nano-silicon yn dynn wrth wella galluoedd cludo ïon lithiwm.

Ffig. 1 Darlun sgematig o gynhyrchiad Si@CF

Ffig. 2 (a) Patrymau XRD, (b) sbectra Raman, (c) sgan arolwg XPS, (d) F1s cydraniad uchel a (e) sbectra Si2p XPS o Si@C a Si@CF, (f) cromlin TGA o Si@CF
Mae sbectrwm llawn XPS yn dangos bod y deunydd Si@C yn cynnwys elfennau O, N, C, a Si (Ffigur 2(c)). Mae ffracsiwn atomig yr elfen F yn y deunydd Si@CF a geir ar ôl triniaeth fflworineiddio tua 1.8%. Yn y sbectrwm F1s XPS cydraniad uchel (Ffigur 2(d)), mae'r ddau gopa nodweddiadol ar egni rhwymol 686.3 a 687.8 eV yn cyfateb i CF a Si-OF yn y drefn honno, a CF yw'r un amlycaf. Mae'n dangos bod y driniaeth fflworineiddio wedi cyflwyno elfen fflworin yn llwyddiannus i'r haen garbon amorffaidd sydd wedi'i gorchuddio ar wyneb nano-silicon. Mae'r sbectra cydraniad uchel Si2p (Ffigur 2(e)) a F1s XPS yn profi bod atomau Si yn rhyngweithio'n gemegol â'r elfen F yn yr haen garbon trwy ffurfio bondiau Si-OF, sy'n fuddiol i orchudd tynn yr haen garbon ar y wyneb silicon. Mae dadansoddiad thermografimetrig (TGA) yn dangos bod y ffracsiwn màs o Si yn y deunydd Si@CF tua 85.17% (Ffigur 2(f)).
Mae dadansoddiad SEM yn dangos bod y deunydd Si@CF yn cynnwys nanoronynnau gyda maint o<100 nm (Figure 3(a~c)). After high-temperature carbonization and gas-phase fluorination treatment, the carbon material is still uniformly coated on the surface of the silicon nanoparticles.

Ffig. 3 (ac) delweddau SEM, (df) delweddau TEM a (gi) mapio elfennol o Si@CF
Mae dadansoddiad TEM yn dangos bod y nanoronynnau silicon wedi'u gorchuddio'n llwyr ac yn gyfartal mewn haen garbon gyda thrwch o tua deg nanometr, gan ffurfio strwythur cragen graidd (Ffigur 3 (d~e)). Mae gan nanoronynnau silicon un strwythur grisial, lle mae'r bylchiad dellt o 0.328 nm yn cyfateb i awyren grisial (111) Si, ac mae gan yr haen garbon â dop fflworin sy'n ei gorchuddio strwythur amorffaidd (Ffigur 3 f)). Mae'r sbectrwm dosbarthu elfennau yn profi bod elfennau C a Si wedi'u dosbarthu'n gyfartal yn Si@CF (Ffigur 3(g~i)).
2.2 Priodweddau electrocemegol defnyddiau
Ffigur 4(a, b) yw cromlin CV deunyddiau anod Si@C a Si@CF. Y buanedd ysgubo yw 0.1 mV·s-1 a'r amrediad foltedd yw 0.01~1.5 V. Yn y cylch cyntaf, mae'r brig llydan gwan yn mae'r ystod o 0.1~0.4 V yn cyfateb i'r broses anwrthdroadwy o ddadelfennu electrolyte i ffurfio ffilm SEI; brig y gostyngiad yn 0.01 V yn cyfateb i'r broses o silicon grisialaidd ffurfio aloi silicon-lithiwm (LixSi) drwy adwaith aloi. Yn ystod y broses codi tâl dilynol, mae'r ddau frig ocsideiddio yn 0.32 a 0.49 V yn cyfateb i'r broses o ddealloying o LixSi i ffurfio silicon amorffaidd [16]. Gall triniaeth fflworineiddio gyflawni effeithiau dopio ac ysgythru strwythurol. Mae nifer fawr o ddiffygion strwythurol yn cael eu cyflwyno i'r haen garbon amorffaidd wedi'i orchuddio ar wyneb y deunydd Si i ffurfio sianel gludo ïon lithiwm tri dimensiwn, cyflymu trafnidiaeth ïon lithiwm a gwella adweithedd electrocemegol y deunydd Si. Felly, mae Si@CF yn dangos uchafbwynt ocsidiad delithiation llymach ar 0.49 V na'r anod Si@C heb ddopio fflworin. Yn ystod y broses ryddhau ddilynol, mae'r brig gostyngiad newydd yn 0.19 V yn cyfateb i'r broses mewnosod lithiwm o silicon amorffaidd a ffurfiwyd yn ystod y broses codi tâl gyntaf [16-17]. Wrth i nifer y cylchoedd gynyddu, nid yw safleoedd y brig ocsidiad a'r brig gostyngiad yn y gromlin CV yn newid mwyach, sy'n dangos bod deunyddiau anod Si@C a Si@CF yn dilyn mecanwaith storio lithiwm aloi tebyg ar ôl y tâl a'r gollyngiad cyntaf. Yn ystod y broses hon, cynyddodd yr uchafbwynt ocsideiddio a'r brig gostyngiad yn raddol, gan adlewyrchu proses actifadu electrod nodweddiadol.

Ffig. 4 (a, b) Cromliniau CV ar gyfradd sgan o 0.1 mV·s-1 a chromliniau foltedd gwefr-rhyddhau ar (c, d) 0.2 a (e, f) 0.4 A·g-1 ar gyfer (a, c, e) Si@C a (b, d, f) anodau Si@CF
Yn y prawf gwefr a rhyddhau cerrynt cyson, cafodd y deunydd anod Si ei feicio a'i actifadu 4 gwaith ar ddwysedd cerrynt is (0.2 A·g-1), ac yna profwyd sefydlogrwydd ei gylchred yn dwysedd cerrynt o 0.4 A·g-1. Mae Ffigur 4 (c, d) yn dangos y wefr galfanostatig a chromliniau gollwng anodau Si@C a Si@CF yn 0.2 A·g-1, a'r ffenestr foltedd yw 0 .01~1.5 V. Yn ystod y broses ollwng gyntaf, ffurfiodd y ddau lwyfan hir yn yr ystod foltedd < 0.1 V, sy'n cyfateb i'r broses fewnosod lithiwm o silicon crisialog aloiu. Mae'r broses hon yn aml yn cyd-fynd ag effeithlonrwydd Coulombic cyntaf isel. Yn ystod y broses wefru gyntaf, mae'r aloi silicon-lithiwm yn cael ei ddadlithi a'i drawsnewid yn silicon amorffaidd gydag egni actifadu is ar gyfer mewnosod lithiwm [18], gan achosi'r potensial mewnosod lithiwm i gynyddu i 0.1 ~ 0.3 V ar ôl y tâl a'r gollyngiad cyntaf. O'i gymharu â Si@C, mae capasiti penodol rhyddhau cyntaf (2640 mAh·g-1) anod Si@CF ychydig yn is. Fodd bynnag, mae'r capasiti gwefr-benodol cyntaf (1739.6 mAh·g-1) yn uwch, ac mae'r effeithlonrwydd Coulombic cyntaf (65.9%) tua 45.8% yn uwch na'r anod Si@C. Mae cromlin gwefr-rhyddhau rhanbarth SEI yr electrod negyddol Si@CF yn fyrrach nag un Si@C, sy'n dangos bod ffilm SEI fwy sefydlog yn cael ei ffurfio ar yr wyneb. Mae hyn oherwydd bod yr haen garbon wedi'i dopio â fflworin yn ffafriol i greu ffilm SEI sy'n cynnwys cydrannau anorganig (fel LiF) a sefydlogrwydd uwch ar wyneb yr anod silicon, a thrwy hynny leihau colled lithiwm anadferadwy a'r defnydd o electrolytau [19].
Figure 4(e~f) shows the charge and discharge curves of Si@C and Si@C-F negative electrodes at a current density of 0.4 A·g-1 after activation. After 100 cycles, the Si@C-F anode can still maintain a high specific capacity of 1223 mAh·g-1, with a capacity retention rate of >85% (Figure 5(a)). Under the same conditions, the capacity of the Si@C negative electrode without fluorination treatment rapidly decayed during the charge and discharge process, and the capacity retention rate after 100 cycles was only 62%. It shows that the fluorine-doped carbon coating layer has a significant effect on improving the cycle stability of the silicon anode. Commercial nano-silicon anodes without carbon coating will fail after more than 10 cycles due to huge volume expansion and structural powdering during the deintercalation of lithium. During this process, the specific capacity of Si@C-F and Si@C negative electrodes gradually increases in the first 10 to 20 cycles due to the activation effect. At a large current density of 0.2~5.0 A·g-1, the Si@C-F anode can maintain a high specific capacity of 1540~580 mAh·g-1, showing excellent capacity retention (Figure 5(b)). At a high current density of 5.0 A·g-1, its capacity retention rate is approximately 78% higher than that of Si@C. When the current density is further reduced to 0.2 A·g-1, the specific capacity can be restored to 1450 mAh·g-1, indicating that its structure is highly stable during high-rate lithium storage. After 200 charge-discharge cycles at a current density of 0.2 A·g-1, the Si@C-F anode can maintain a specific capacity of >75%. Dim ond 40% yw cyfradd cadw cynhwysedd yr anod Si@C heb driniaeth fflworin (Ffigur 5(c)). Mae'r anod hwn hefyd yn dangos gwell perfformiad storio lithiwm na'r deunydd anod silicon a adroddir yn y llenyddiaeth (Tabl 1).

Ffig. 5 (a) Sefydlogrwydd beicio ar ddwysedd cerrynt o 0.4 A·g-1 gydag anodau wedi'u hysgogi gan 4 cylchred yn 0.2 A·g-1 cyn beicio, a (b) gallu cyfradd ar wahanol ddwysedd cerrynt yn amrywio o 0.2 i 5.0 A·g−1 a (c) cadw cynhwysedd ar ddwysedd cerrynt o {{13} }.2 A·g-1 ar gyfer storio lithiwm yn anod Si@C a Si@CF
Tabl 1 Cymhariaeth o anod Si@CF ag anod wedi'i seilio ar Si yr adroddwyd amdano mewn perfformiad electrocemegol
|
Defnyddiau |
CE cychwynnol |
Capasiti cychwynnol/(mAh·g-1) |
Cadw gallu |
Cyf. |
|
Si@CF |
65.9% |
2640 |
85% (100 o gylchoedd) |
Y gwaith hwn |
|
nano-Si/TiN@ |
71% |
2716 |
59.4% (110 cylch) |
[20] |
|
Si@C@RGO |
74.5% |
1474 |
48.9% (40 cylch) |
[21] |
|
Si@FA |
65% |
1334 |
68.7% (100 o gylchoedd) |
[22] |
|
P-Si@C |
58% |
3460 |
57.5% (100 o gylchoedd) |
[23] |
|
Si@void@C |
- |
900 |
70% (100 cylchred) |
[24] |
|
Si/C@C |
- |
1120 |
80% (100 cylchred) |
[25] |
At a high current density of 5.0 A·g-1, its capacity retention rate is approximately 78% higher than that of Si@C. When the current density is further reduced to 0.2 A·g-1, the specific capacity can be restored to 1450 mAh·g-1, indicating that its structure is highly stable during high-rate lithium storage. After 200 charge-discharge cycles at a current density of 0.2 A·g-1, the Si@C-F anode can maintain a specific capacity of >75%. The capacity retention rate of the Si@C anode without fluorination treatment is only 40% (Figure 5(c)). This anode also shows better lithium storage performance than the silicon anode material reported in the literature (Table 1). The fluorine doping amount in the coating carbon layer has a significant impact on the lithium storage performance of the Si@C-F anode. When the fluorine doping amount is below 1.8% atomic fraction, the cycling stability of the Si@C-F anode significantly improves as the fluorine doping amount increases (Figure 6). This is due to the enhanced effect of fluorine doping on the lithium ion transport properties of the carbon coating layer and the stability of the SEI film on the surface of the silicon material. When the fluorine doping ratio is too high (>2.7%), mae'r deunydd anod Si wedi'i orchuddio â charbon yn dal i gynnal sefydlogrwydd beicio da, ond mae'r gallu penodol yn gostwng yn sylweddol. Mae hyn oherwydd colli Si gweithredol a achosir gan rywogaethau fflworin cyfnod nwy yn ysgythru yn ystod fflworineiddio tymheredd uchel. Pan fo'r swm dopio fflworin yn 1.8 y cant atomig, mae'r anod Si@CF yn dangos y sefydlogrwydd beicio gorau posibl a chynhwysedd penodol uchel.

Ffig. 6 Sefydlogrwydd seiclo anodau Si@CF gyda chymarebau F gwahanol ar ddwysedd cerrynt o 0.4 A·g-1 gydag anodau wedi'u hactifadu gan gylchoedd 4-10 yn 0 .2 A·g-1 cyn beicio
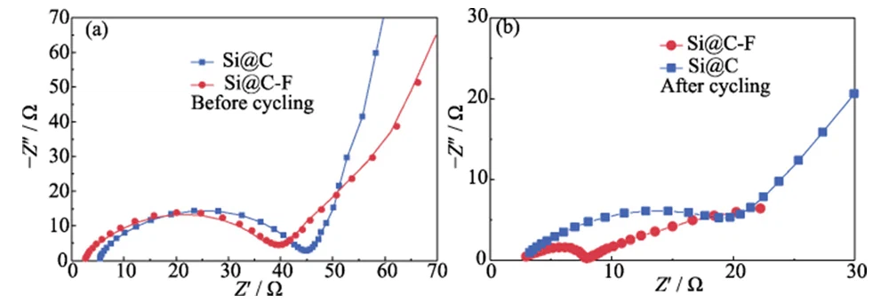
Mae sbectra EIS anodes Si@C a Si@CF yn cynnwys cromliniau lled-arc yn y rhanbarth amledd canol i uchel a llinellau syth ar oledd yn y rhanbarth amledd isel (Ffigur 7(a)). Mae'r gromlin lled-arc yn yr ystod amledd canolig i uchel yn gysylltiedig â'r gwrthiant trosglwyddo tâl (Rct), ac mae'r llinell syth ar oledd yn yr ystod amledd isel yn bennaf yn adlewyrchu rhwystriant Warburg (ZW) o drylediad ïon lithiwm [26 ]. Cyn gwefru a gollwng, mae electrodau negyddol Rct Si@CF a Si@C yn debyg, ond mae gan y cyntaf ZW is oherwydd yr haen garbon â dop fflworin hynod ddiffygiol sy'n gorchuddio'r wyneb. Ar ôl cylchoedd gwefru a rhyddhau, mae Rct (5.51 Ω) yr anod Si@CF yn sylweddol is nag un yr anod Si@C (21.97 Ω) (Ffigur 7(b)), ac mae'r ZW yn llawer is na'r olaf . Mae hyn yn dangos y gall y ffilm rhyngwyneb SEI llawn fflworin a achosir gan yr haen garbon wedi'i dopio â fflworin wella'r tâl rhyngwyneb a galluoedd cludo ïon lithiwm yn effeithiol.

Ffig. 7 Plotiau Nyquist o anodau Si@C a Si@CF (a) cyn a (b) ar ôl beicio ar ddwysedd cerrynt o 0.4 A·g-1
2.3 Nodweddu strwythur electrod ar ôl codi tâl a gollwng
Mae nodweddu SEM ar ôl cylchoedd gwefru a rhyddhau (Ffigur 8 (a ~ c)) yn dangos, oherwydd effaith ehangu cyfaint sylweddol silicon yn ystod y broses fewnosod lithiwm, bod trwch yr electrod Si@C wedi cynyddu 132.3%. Mae hyn nid yn unig yn rhwystro trosglwyddo ïonau ac electronau, yn cynyddu ymwrthedd mewnol a polareiddio'r electrod, ond hefyd yn achosi straen mecanyddol enfawr, gan achosi i'r electrod rwygo a gwahanu oddi wrth y casglwr presennol, gan achosi perfformiad yr anod Si@C i pydredd cyflym (Ffigur 5(c)). Mewn cymhariaeth, cynyddodd trwch electrod yr anod Si@CF 26.6% yn unig ar ôl cylchoedd gwefru a rhyddhau, a chynhaliodd sefydlogrwydd strwythurol electrod da (Ffigur 8 (d ~ f)). Mae hyn yn dangos y gall yr haen garbon wedi'i dopio â fflworin sydd wedi'i chyflwyno glustogi effaith ehangu cyfaint mewnosod lithiwm mewn deunyddiau silicon ar y raddfa ficro yn effeithiol, a thrwy hynny wella sefydlogrwydd strwythurol yr electrod ar y raddfa macro o'r gwaelod i fyny.

Ffig. 8 Delweddau SEM uchaf o (a) Si@C a (d) anodau Si@CF ar ôl beicio; Delweddau SEM trawstoriad o (b, c) Si@C ac (e, f) anodau Si@CF (b, e) cyn ac (c, f) ar ôl beicio; Cydraniad uchel (g) F1s a (h) sbectra XPS Li1s o SEI ar anodau Si@C a Si@CF ar ôl beicio
Dadansoddwyd cyfansoddiad y ffilm SEI ar wyneb electrodau negyddol Si@C a Si@CF ar ôl cylchoedd gwefru a rhyddhau gan XPS (Ffigur 8(g~h)). Yn y sbectrwm F1s XPS cydraniad uchel, mae'r egni rhwymol yn cyrraedd uchafbwynt yn yr egni rhwymol o 684.8, 688.3, a 689.1 eV yn cyfateb i fondiau LiF, CF, a CF2, yn y drefn honno. Yn gyfatebol, mae yna hefyd gopaon nodweddiadol sy'n cyfateb i rywogaethau LiF yn y sbectrwm Li1s XPS cydraniad uchel, sy'n nodi bod ffilm SEI sy'n cynnwys rhywogaethau LiF yn cael ei ffurfio ar wyneb yr anod silicon. O'i gymharu â'r anod Si@C, mae'r cynnwys LiF ar wyneb yr anod Si@CF yn uwch, sy'n dangos bod y LiF yn y ffilm SEI yn dod nid yn unig o ddadelfennu halwynau lithiwm yn yr electrolyte, ond hefyd o'r F yn yr haen garbon wedi'i dopio â fflworin. Gall ffurfio LiF modwlws uchel gynyddu cryfder strwythurol y ffilm SEI yn effeithiol ac atal newid cyfaint mewnosodiad lithiwm mewn deunyddiau silicon. Ar yr un pryd, gall y bandgap eang ac eiddo inswleiddio LiF leihau'r trwch SEI a lleihau'r golled lithiwm anghildroadwy cychwynnol. Mae gan aloi LixSi, cynnyrch lithiation LiF a Si, egni rhyngwynebol uchel a gall addasu'n well i ddadffurfiad plastig yr anod silicon lithiated yn ystod beicio, a thrwy hynny wella sefydlogrwydd beicio yr electrod ymhellach [19].
3 Casgliad
In this study, fluorine-doped carbon-coated nano-silicon materials were prepared through a simple and low-toxic gas-phase fluorination method. Research shows that fluorine doping (1.8% F), on the one hand, increases the defects of the carbon coating layer on the silicon surface, and provides abundant lithium ion transport channels while tightly coating nano-silicon to suppress its volume expansion. On the other hand, a highly stable SEI film rich in LiF is induced on the surface of the nano-silicon material, further improving the stability and Coulombic efficiency of the silicon anode. Thanks to this, the first Coulombic efficiency of the fluorine-doped carbon-coated nano-silicon anode improved to 65.9%. At a current density of 0.2~5.0 A·g-1, it exhibits a high specific capacity of 1540~580 mAh·g-1, and can maintain >75% o'r capasiti cychwynnol ar ôl 200 o gylchoedd. Mae'r gwaith hwn yn darparu syniadau newydd ar gyfer dylunio ac adeiladu deunyddiau anod silicon gyda chynhwysedd uchel a sefydlogrwydd uchel.
Cyfeiriad
[1] NIU SS, WANG ZY, YU ML, et al.MXene-seiliedig ar electrod gyda ffug-ocapacitance gwell a chynhwysedd cyfeintiol ar gyfer math pŵer a storio lithiwm oes hir iawn.ACS Nano, 2018, 12(4): 3928.
[2] SU X, WU QL, LI JC, et al.Silicon nanomaterials ar gyfer batris lithiwm-ion: a review.Advanced Energy Materials, 2014, 4(1): 1300882.
[3] GE MZ, CAO CY, GILL MB, et al. Datblygiadau diweddar mewn electrodau sy'n seiliedig ar silicon: o ymchwil sylfaenol tuag at gymwysiadau ymarferol. Deunyddiau Uwch, 2021, 33(16): 2004577.
[4] LI P, ZHAO GQ, ZHENG XB, et al.Recent cynnydd ar ddeunyddiau anod silicon-seiliedig ar gyfer batri lithiwm-ion ymarferol Applications.Energy Storage Materials, 2018, 15: 422.
[5] LIU XH, ZHONG L, HUANG S, et al.Size-ddibynnol torasgwrn o nanoronynnau silicon yn ystod lithiation.ACS Nano, 2012, 6(2): 1522.
[6] LUO W, WANG YX, CHOU SL, et al.Critical trwch haen ffenolig resin-seiliedig ar carbon interfacial interfacial ar gyfer gwella sefydlogrwydd beicio hir o silicon nanoparticle anodes.Nano Ynni, 2016, 27:255.
[7] DOU F, SHI LY, CHEN GR, Deunyddiau anod cyfansawdd silicon / carbon ar gyfer batris lithiwm-ion. Adolygiadau Ynni Electrocemegol, 2019, 2(1): 149.
[8] JIA HP, ZOU LF, GAO PY, et al.High-performance anodes silicon galluogi gan nonflammable localized uchel-crynodiad electrolytes.Advanced Energy Materials, 2019, 9(31): 1900784.
[9] CHOI SH, KWON TW, COSKUN A, et al.Highly rhwymwyr elastig integreiddio polyrotaxanes ar gyfer anodes microparticle silicon yn batris ïon lithiwm.Science, 2017, 357:279.
[10] LI ZH, ZHANG YP, LIU TF, et al.Silicon anod ag effeithlonrwydd Coulombic cychwynnol uchel gan rhwymwr trifunctional modiwleiddio ar gyfer batris lithiwm-ion capasiti uchel-areal.Advanced Energy Materials, 2020, 10(20): 1903110.
[11] XU ZL, CAO K, ABOUALI S, et al.Study o fecanweithiau lithiation o anodes Si carbon-gorchuddio perfformiad uchel gan in-situ microsgopeg.Energy Storage Materials, 2016, 3:45.
[12] TEKI R, MONI KD, RAHUL K, et al.Nanostructured anodes silicon ar gyfer batris ailwefradwy ïon lithiwm.Small, 2009, 5(20):2236.
[13] XIA SX, ZHANG X, LUO LL, et al.Highly sefydlog a ultrahigh- cyfradd Li anod metel galluogi gan fflworineiddio carbon fibers.Small, 2021, 17:2006002.
[14] ZHANG SL, WANG X, HO KS, et al.Raman sbectra mewn rhanbarth amlder eang o silicon mandyllog math-p.Journal of Applied Physics, 1994, 76(5): 3016.
[15] HUANG W, WANG Y, LUO GH, et al.99.9% Purdeb nanotiwbiau carbon aml-wal drwy wactod anelio tymheredd uchel.Carbon, 2003, 41(13):2585.
[16] MCDOWELL MT, LEE SW, NIX WD, et al.25th Pen-blwydd erthygl: deall y lithiation o silicon ac anodes aloi eraill ar gyfer batris lithiwm-ion.Advanced Materials, 2013, 25(36): 4966.
[17] ALLWEDDOL B, MORCRETTE M, TARASCON J M. Dadansoddiad swyddogaeth ddosbarthu ac astudiaethau cyflwr solet NMR o electrodau silicon ar gyfer batris ïon lithiwm: deall y mecanweithiau (de)lithiation .Journal of American Chemical Society, 2011, 133(3) : 503.
[18] GAO H, XIAO LS, PLUMEL I, et al.Parasitig adweithiau mewn anodes silicon nanosized ar gyfer batris lithiwm-ion.Nano Llythyrau, 2017, 17(3): 1512.
[19] CHEN J, FAN XL, LI Q, et al.Electrolyte dylunio ar gyfer rhyngwynebau LiF-gyfoethog solid-electrolyte i alluogi perfformiad uchel anodes aloi microsized ar gyfer batris.Nature Energy, 2020, 5(5): 386.
[20] ZHANG P, GAO YQ, RU Q, et al.Scalable paratoi nano-silicon mandyllog/TiN@carbon anod ar gyfer batris lithiwm.Applied Surface Science, 2019, 498: 143829.
[21] SU MR, WAN HF, LIU YJ, et al.Multi-haenog carbon gorchuddio cyfansawdd Si-seiliedig fel anod ar gyfer batris lithiwm-ion.Powder Technology, 2018, 323:294.
[22] PU JB, QIN J, WANG YZ, et al.Synthesis o strwythur sffêr micro-nano cyfansawdd silicon-carbon fel deunydd anod ar gyfer batris lithiwm-ïon. Llythyrau FfisegChemical, 2022, 806: 140006.
[23] GAO RS, TANG J, YU XL, et al.A brechdan tebyg i silicon-carbon cyfansawdd a baratowyd gan wyneb-polymerization ar gyfer storio lithiwm-ion cyflym.
Nano ynni, 2020% 2c 70% 3a 104444.
[24] GONG XH, ZHENG YB, ZHENG J, et al.Yolk-cragen silicon / cyfansoddion carbon a baratowyd o aloi alwminiwm-silicon fel deunyddiau anod ar gyfer batris lithiwm-ion.Ionics, 2021, 27: 1939.
[25] LIA YR, WANG RY, ZHANG JW, et al.Sandwich strwythur anodau nanofiber silicon wedi'u gorchuddio â charbon / carbon ar gyfer batris lithiwm-ion.Ceramics International, 2019, 45: 16195.
[26] Technegau electrocemegol YANG XM A ROGACH A mewn ymchwil batri: tiwtorial ar gyfer deunyddiau ynni nad ydynt yn electrocemegwyr, 2019, 9(25): 1900747.





